IDMT Relay Tripping Time Calculator

Inverse definite minimum time (IDMT) relays serve the purpose of interrupting the fault currents while ensuring safety and minimising damage to power system equipment. To achieve this, relays are supposed to trip in a short time therefore it is of great importance to know the tripping time.

For protection discrimination studies you can use our protection coordination software.

Try our other 12 Free Electrical Calculators.

Time Current Curve Equations

The curve equations for different standards are given below:

IEC Curves

Tms software for electrical substations.

TMS is Time Multiplier Setting,

I is the fault current in Amps,

Is is the relay pickup current in Amps,

I / Is  is the Plug Setting Multiplier,

td is the operating time of relay,

k and p are constants for the various characteristic curves given below:

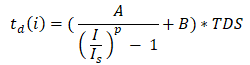
IEEE Curves

A formula for calculating total dissolved solids (TDS) concentration in power generation from renewable energy sources.

Here TDS is Time Dial Setting,

A, B and p are constants and their values for various type of inverse curves are given below:

IAC Curve

A diagram of a chemical equation involving electric power and cables.

The values of constants A, B, C, D and E for various type of inverse curves are given below:

Rapid Inverse (RI) Curve

A software diagram illustrating the formula for an electrical substation.

Free Electrical Calculators:

Protection Software
Cable Pro Web Protection Coordination Software module

Discrimination studies for protective devices made easy.

Manufacturers: